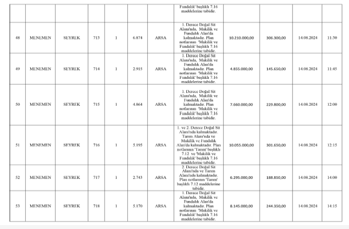
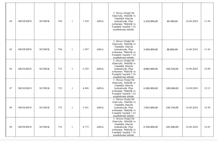
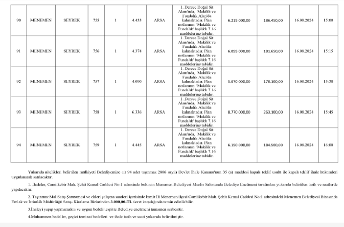
Menemen Belediye Başkanı Aydın Pehlivan ilçe tarihinin en büyük satışı için düğmeye bastı. Cumhurbaşkanı Recep Tayyip Erdoğan'ın imzasıyla Resmi Gazete'de yayımlanan karar göre Menemen Belediyesi'nin Seyrek, Maltepe, Kesik, koyundere, Günerli ve Emiralem'de bulunan toplam 94 adet taşınmazı ihaleyle satışa sunulacak.
Menemen Belediyesine dev kaynak...
2886 sayılı Devlet İhale Kanunu'nun 35 (a) maddesi uyarınca kapalı teklif usulü uygulanacak olan satıştan 1 milyar 250 milyon lira civarında bir gelir bekleniyor. Mali açıdan sıkıntılı günler geçiren Menemen Belediyesi'nde 300'e yakın işçi işten çıkartılmıştı. Aydın Pehlivan'la görüşemeyen işçiler kayıp ilanı vermiş, 'Menemen’in çiçeği burnunda Belediye Başkanı Aydın Pehlivan 27 Mayıs 2024 tarihinden bu yana kayıptır. Meclis toplantılarına dahi gelmeyen belediye başkanının durumundan endişe etmekteyiz. Görenlerin, insaniyet namına belediye binasının önünde beklemekte olan haksız yere çıkarılan işçilere bildirmesi rica olunur” demişti.
1. ve 2. Derece sit alanlarıyla, konut dışı tarlayı kim, neden satın alır?
Menemen Belediyesi'nin 12-18 Ağustos tarihleri arasında Menemen Belediye Binası’nda belediye encümenince gerçekleştirilecek olan ihalede 40 parça taşınmazın 1.veya 2.Derece Sit alanında kaldığı görülüyor. İhalede 459 milyon 735 bin liralık bedelle en yüksek kaleme sahip olan Maltepe Mahallesi'ndeki tarla için 'Konut Dışı Kentsel Çalışma Alanında kalmaktadır' bilgisi veriliyor. Satılacak olan taşınmazları kimin alacağı kadar, satış işleminin ardından söz konusu taşınmazlarla ilgili nasıl bir süreç izleneceği de merakla bekleniyor.

İşte satışa sunulacak taşınmazların tam listesi...



















